
이진 탐색 트리의 편향 발생(불균형 이진트리)
Case 1) 이진 탐색 트리에 삽입되는 순서 : 20 → 10 → 30 → 5
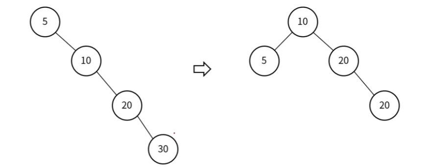
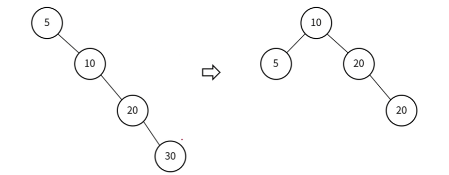
Case 2) 이진 탐색 트리에 삽입되는 순서 : 5 → 10 → 20 → 30

균형 이진 탐색 트리
- Balanced Binary Search Tree
- 노드의 삽입과 삭제가 일어날 때 균형을 유지하도록 하는 트리
- AVL 트리, Red-Black 트리
AVL 트리
- 노드가 삽입, 삭제될 떄 트리의 균형을 체크하고 유지하는 트리
- 각 노드의 BF를 [-1, 0, 1] 만 가지게 하여 균형을 유지
- BF(Balance Factor) # 왼쪽 서브 트리 높이 - 오른쪽 서브 트리 높이
AVL 트리 - Rebalancing
균형이 꺠진 경우,
- BF가 ' + ' 이면 왼쪽 서브 트리에 이상이 있음
- BF가 ' - ' 이면 오른쪽 서브 트리에 이상이 있음
회전 연산
- 단순 회전 - LL, RR
- 이중 회전 - LR, RL

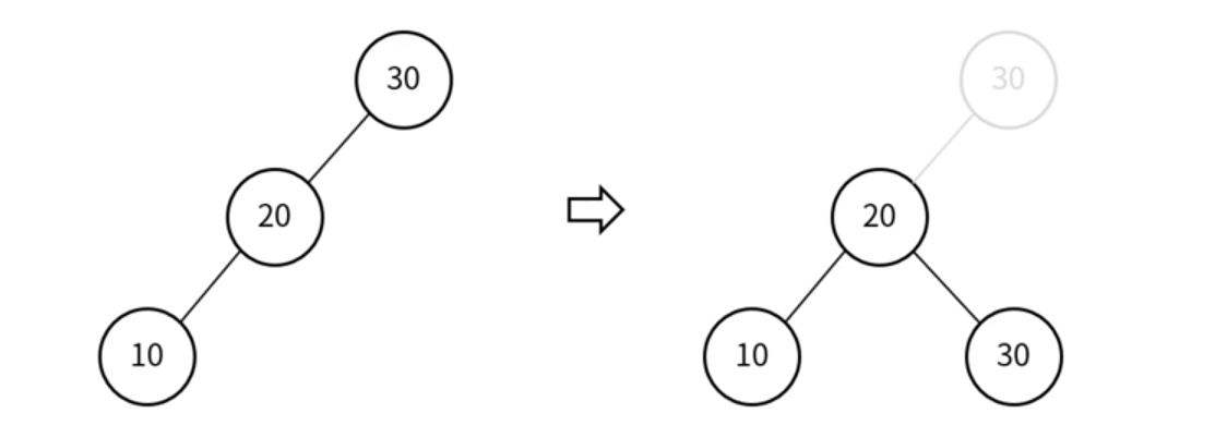
AVl 트리 - LL
LL(Left - Left)
- 회전 1회
- 오른쪽 방향으로 회전

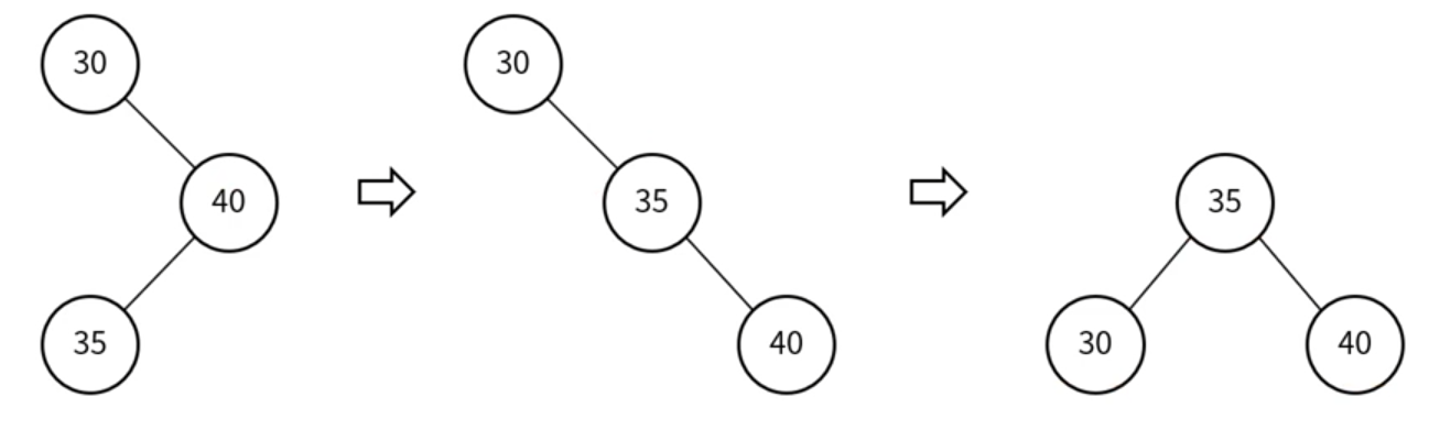
AVl 트리 - RR
RR(Right - Right)
- 회전 1회
- 왼쪽 방향으로 회전

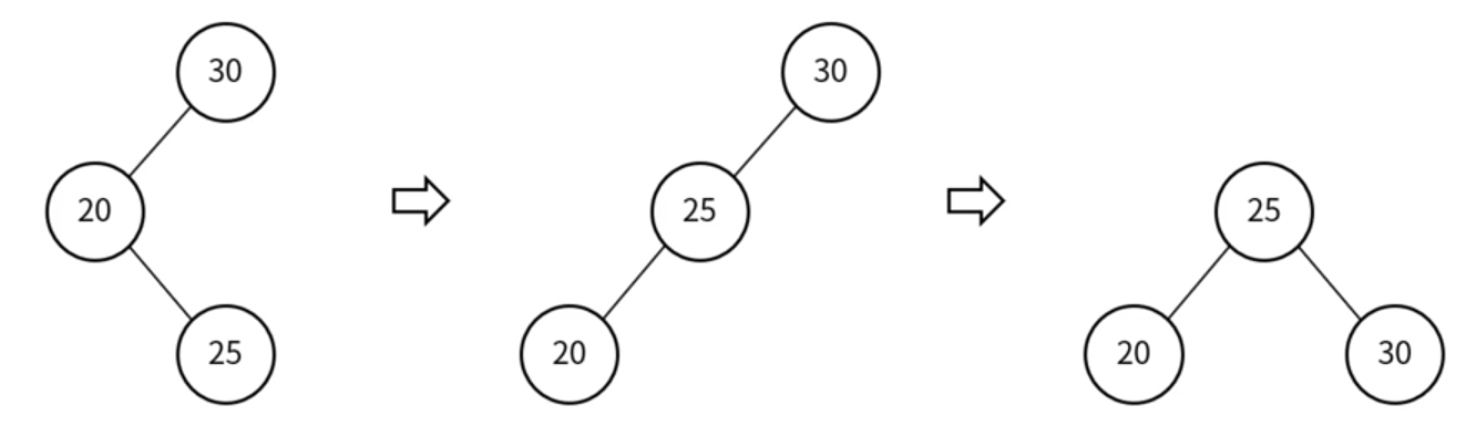
AVl 트리 - LR
LR(Left - Right)
- 회전 2회
- RR 회전 후 LL 회전

AVl 트리 - RL
RL(Right - Left)
- 회전 2회
- LL 회전 후 RR 회전
구현
import java.util.LinkedList;
import java.util.Queue;
class Node {
int key;
int height;
Node left;
Node right;
public Node(int key, Node left, Node right) {
this.key = key;
this.height = 0;
this.left = left;
this.right = right;
}
}
class AVLTree {
Node head;
public int height(Node node) {
if(node == null){
return -1;
}
return node.height;
}
LL 구현
public Node rightRotate(Node node) {
Node lNode = node.left; // 현재 node의 왼쪽 자식에게 마킹
node.left = lNode.right;
lNode.right = node; // '/' 모형을 '^' 모형 트리로 변경
node.height = Math.max(height(node.left), height(node.right)) + 1; // node의 높이 update
lNode.height = Math.max(height(lNode.left), height(lNode.right)) + 1;
return lNode;
}
RR 구현
public Node leftRotate(Node node) {
Node rNode = node.right;
node.right = rNode.left; // '\' 모형은 '^' 모형 트리로 변경
rNode.left = node;
node.height = Math.max(height(node.left), height(node.right)) + 1;
rNode.height = Math.max(height(rNode.left), height(rNode.right)) + 1;
return rNode;
}
LR 구현
public Node lrRotate(Node node) { // < 모형 트리 ^ 로 변경 (위에서 로직을 다 만들어서 호출만 하면 됨)
node.left = leftRotate(node.left);
return rightRotate(node);
}
RL 구현
public Node rlRotate(Node node) {// > 모형 트리 ^ 로 변경
node.right = rightRotate(node.right);
return leftRotate(node);
}'Algorithm' 카테고리의 다른 글
| 힙(Heap) (0) | 2023.04.02 |
|---|---|
| 그래프 (1) | 2023.03.29 |
| 이진 탐색 트리 자료구조 (1) | 2023.03.28 |
| 트리 (0) | 2023.03.27 |
| 해시 테이블 자료구조 (0) | 2023.03.27 |